There's a biohacker in your coworking space right now. You've seen them—pulling an Aranet4 out of their backpack, checking the screen, then quietly relocating to a different floor. The device cost them $249. What it tells them: this room has 2,400 ppm of CO2, which means their brain is running at roughly 50% capacity.
Most people blame the afternoon slump on lunch. The biohackers know it's the air.
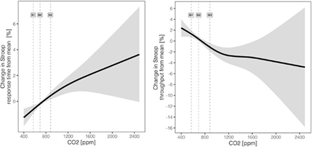
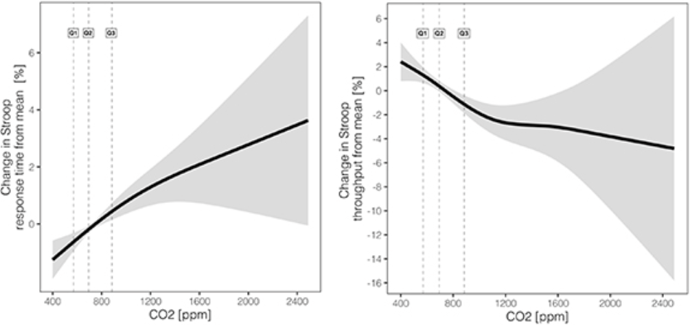
A 2024 Harvard study tracking 121 remote workers over a full year found measurable cognitive decline when CO2 levels climbed above 640 ppm—a threshold most occupied rooms blow past by 2pm. Response times slowed 1.4-1.8% for every additional 500 ppm. Throughput dropped 2.1-2.4%. There was no lower threshold where the effect disappeared.

This isn't fringe science anymore. A 2023 meta-analysis of 15 experimental studies confirmed that complex cognitive tasks take the hardest hit. Strategic thinking, decision-making, creative problem-solving—all measurably degrade in stuffy rooms. Standard indoor levels aren't dangerous. They're just expensive.
Portable NDIR CO2 monitors are showing up everywhere: classrooms, planes, restaurants, home offices. Aranet, a Baltic company that makes the reference-grade portable monitor, pulled in €33M last year. Teachers use them to prove stuffy classrooms aren't just uncomfortable—they're measurably impairing student focus.

But there's no Yelp for oxygen. No standardized way to know if a café can sustain deep work at 3pm. No badge that coworking spaces can display proving they're not quietly taxing their members' brainpower. No data layer that translates "indoor air quality" into the language building operators actually care about: tenant retention, premium pricing, competitive differentiation.
The market opportunity is hiding in plain sight: 7,000+ coworking locations growing 7% quarterly, 50,000 cafés filled with laptop workers, and millions of offices where people are quietly losing 2-4% of their cognitive performance every afternoon. The wedge is simple: create the Yelp health score for brain function. The business model at scale: $99-$1,999/month subscriptions across coworking operators and premium venues, plus $15k-$100k annual contracts for enterprise portfolios. Three years to $15-20M ARR.
The Actual Problem
WeWork, Industrious, and hundreds of boutique coworking operators are competing on aesthetics, location, and vibes. Meanwhile, a 2024 study from IOP Science found that 50% of professionals report that poor air quality makes them noticeably sleepier during work. A third lose more than an hour of productivity daily to physical and environmental factors.
Coworking spaces grew 7% quarter-over-quarter in the U.S. through 2024, hitting 7,041 locations. The industry reached 42,000 global locations by the end of 2024, with continued growth projected through 2026. Post-COVID, these spaces market themselves on "enhanced ventilation" and "wellness-first design." But how many can actually prove it?

The 2025 edition of ASHRAE 62.1—the ventilation standard most commercial buildings reference—doesn't mandate CO2 limits. ASHRAE's own position document explicitly states there's no consensus "1000 ppm requirement." Meanwhile, the Harvard data shows performance degradation well below that level—impacts start appearing below 640 ppm.
Commercial real estate is waking up to this. NAR's 2025 Commercial Sustainability Report shows 38% of practitioners now focus on improving energy efficiency of existing buildings, while indoor air quality and operating costs top tenant priorities. RESET Air—a performance-based certification that requires continuous monitoring—has certified over 620,000 square meters of commercial interiors globally. Buildings pursuing RESET need Grade B or Grade A monitors (reference monitors cost ₹10 lakh / ~$12k), continuous power and internet, and proof of maintaining thresholds for three consecutive months.

But RESET is enterprise-grade, complex, and expensive. It's not built for the café owner in Bushwick or the 3-location coworking chain in Austin. And it definitely doesn't speak to consumers.
There's a consumer desire for proof, a B2B need for differentiation, and a complete absence of a legible standard that bridges both.
Why This Works Now
Three things converged.
The hardware is solved. NDIR CO2 sensors—previously industrial equipment—now retail for $249 (Aranet4) or less (budget models under $100). Battery life spans years. Accuracy rivals professional-grade instruments. Teachers, parents, and office workers already use Aranet4s to prove that stuffy rooms aren't just a feeling but a measurable problem.
The science is mainstream. Joseph Allen's COGfx studies from Harvard's Healthy Buildings program are now cited everywhere. The 2015 study showing 61% higher cognitive scores in "Green" buildings versus "Conventional" ones? That's table stakes now. The April 2025 study in Nature showing cognitive impacts even in well-ventilated university classrooms? That's the current frontier. Performance degradation from indoor air is no longer a debate. It's documented, replicated, and increasingly discussed in commercial real estate circles.
Commercial tenants are shopping on wellness. Coworking growth is driven by enterprise clients—WeWork India saw 22% revenue growth in 2025 from corporate tenants; UK-based IWG (Regus/Spaces) posted 26% revenue growth in H1 2025 from managed workspace segments. Companies are paying for flexibility, but they're also evaluating spaces on hospitality, amenities, and "hotelification." Air quality is emerging as a competitive differentiator. A 2024 coworking trends analysis noted that smart sensors monitoring air quality and adjusting ventilation accordingly is now standard in premium spaces.
The wedge is consumer-viral proof meeting B2B operational value. Think: Yelp's health scores for restaurants, but for cognitive performance in workspaces.
The Product: Three Layers
Stop thinking "crowdsourced CO2 map." That caps at meme status. Think cognitive performance infrastructure. Build the following 3 layers:

Unlock the Vault.
Join founders who spot opportunities ahead of the crowd. Actionable insights. Zero fluff.
“Intelligent, bold, minus the pretense.”
“Like discovering the cheat codes of the startup world.”
“SH is off-Broadway for founders — weird, sharp, and ahead of the curve.”